Microscope AFM
Nom de l’équipement : microscope AFM
Utilisation : caractérisation de matériaux (métaux, polymères) et des nanostructures (molécules absorbées, nanostructures organiques et inorganiques) à l’échelle nanométrique
Application : caractérisation de la morphologie et des états de surfaces à l’échelle submicronique (résolution nanométrique). Propriétés électriques et mécaniques
Onglet : Caractérisations – Mesure des propriétés
Nom et prénom du responsable : Judicaël Jeannoutot


Image AFM d’un réseau supramoléculaire obtenu en « spin coating » en résolution submoléculaire

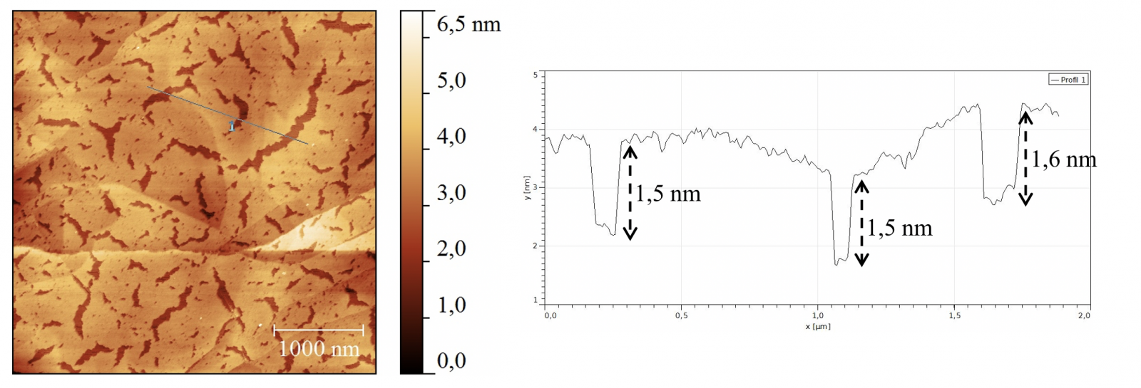
Image AFM d’une monocouche organique déposée sur graphite obtenue par « spin coating » montrant une épaisseur de couche de 1,5 nm
Caractéristiques techniques : |
Applications : |
|
Spécificités : Dimensions maximales de l’échantillon : X-Y : 200 mm, Z : 20 mm - Dimensions maximales de balayage : X=90µm, Y=90µm, Z=10µm Dérive en X et Y < 300 pm/min Modes de scan : contact, tapping, PeakForce tapping Résolution : ≈ 2 nm en X et Y, ≈ 0.1 nm en Z Imagerie à pression atmosphérique et en milieu liquide Nom de l’outil : microscope à force atomique (AFM) Fabricant : Bruker Modèle : Dimension ICON Salle : Salle microscopie |
caractérisation de la morphologie et des états de surfaces à l’échelle submicronique |